1443: 【递归】再求f(x,n)

Memory Limit:128 MB Time Limit:1.000 S
Judge Style:Text Compare Creator:
Submit:40 Solved:29

Description

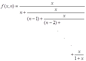
已知


用递归函数求解。

Input

第一数是x的值,第二个数是n的值。

Output

函数值。

Sample Input Copy

1 2

Sample Output Copy

0.40

Source/Category