1444: 【递归】求f(x,n)

Memory Limit:128 MB Time Limit:1.000 S
Judge Style:Text Compare Creator:
Submit:57 Solved:41

Description

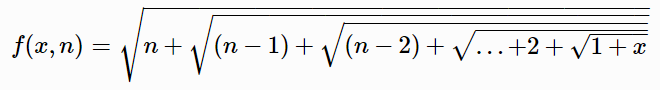
已知

求f(x,n)的值

Input

输入x和n。

Output

函数值,保留两位小数。

Sample Input Copy

4.2 10

Sample Output Copy

3.68

Source/Category