1445: 【递归】Hermite多项式
Memory Limit:128 MB
Time Limit:1.000 S
Judge Style:Text Compare
Creator:
Submit:51
Solved:30
Description
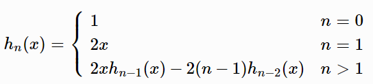
用递归的方法求Hermite多项式的值

对给定的x和正整数n,求多项式的值。

对给定的x和正整数n,求多项式的值。
Input
给定的n和正整数x。
Output
多项式的值,保留小数点后面2位。
Sample Input Copy
1 2
Sample Output Copy
4.00