1456: 求π的值
Memory Limit:128 MB
Time Limit:1.000 S
Judge Style:Text Compare
Creator:
Submit:89
Solved:68
Description
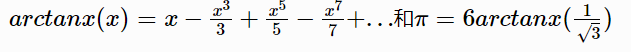
根据公式:
定义函数 arctanx(x),求当最后一项小于10−6时π的值。
定义函数 arctanx(x),求当最后一项小于10−6时π的值。
Input
(无)
Output
π的值。保留到小数点后5位。
Sample Input Copy
(不提供)
Sample Output Copy
3.14159