1988: 873.欧拉函数
Memory Limit:128 MB
Time Limit:1.000 S
Judge Style:Text Compare
Creator:
Submit:90
Solved:48
Description
给定n个正整数ai,请你求出每个数的欧拉函数。
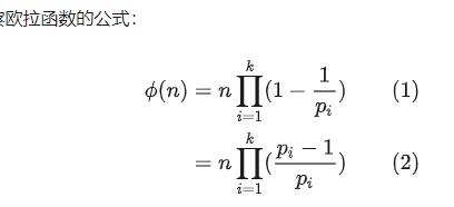
欧拉函数的定义如下:
欧拉函数的定义如下:
Input
第一行包含整数n
接下来的n行,每行包含一个正整数ai。
接下来的n行,每行包含一个正整数ai。
Output
输出共n行,每行输出一个正整数ai的欧拉函数。
1<=n<=100.
1<=ai<=2*109
1<=n<=100.
1<=ai<=2*109
Sample Input Copy
3
3
6
8
Sample Output Copy
2
2
4