2275: 鸡⽖传说中的宝藏(2024-T3)
Memory Limit:128 MB
Time Limit:1.000 S
Judge Style:Text Compare
Creator:
Submit:7
Solved:2
Description
在⼀个遥远的国度,有⼀个神秘的传说,关于⼀座隐藏在深⼭⽼林中的神秘宝藏。传说中,只有那些能
够解开鸡⽖之谜的勇者才能找到这个宝藏。
据说,宝藏所在的⽼林中隐藏着许多神奇的鸡⽖形状的地形。这些鸡⽖形状的地形是⼀种迷宫,构成了
前往宝藏的通道。勇者们必须最⼤限度地利⽤鸡⽖的形状,才能找到正确的路径,并在通道中避免陷⼊
困境。
为了解开鸡⽖之谜,勇者们被赋予了⼀项任务:使⽤给定的边,构建⼀个简单⽆向图,以最⼤化图中的
鸡⽖数。他们需要巧妙地选择边的顶点连接⽅式,以形成尽可能多的鸡⽖形状。
只有当勇者们成功构建出鸡⽖数量最多的图形时,他们才能获得通向宝藏的线索。但是,解开鸡⽖之谜
并不容易,因为他们必须在给定的边限制下,选择正确的连接⽅式。
现在,你作为⼀名勇者,接受了这个挑战。你必须聪明地选择边的连接⽅式,以构建出鸡⽖数量最多的
图形,找到通向宝藏的线索。 
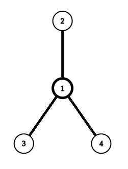
该图为⼀个鸡⽖的示例,加粗部分被认为在当前鸡⽖中
⼀个鸡⽖是由 4 个部分组成,⼀个点与三个与该点相邻的边,三个边的另⼀端点被认为不在鸡⽖中。
⼀个图上的鸡⽖数是该图最多成形成⼏个鸡⽖,使得图上每个点与边最多在⼀个鸡⽖中。
现在给你 n 条边,你可以使⽤任意个点,构造⼀个简单⽆向图(没有⾃环重边),要求最⼤化该图的鸡
⽖数,并输出n条边的两端点。如果有多解,请让输出的 2n 个数字在⾏优先遍历的顺序下,字典序最
⼩。
这⾥⾏优先遍历的顺序是指:假如说我们最后输出的答案为
1 2
1 3
1 4
那么我们按⾏优先遍历的顺序得到的答案序列为 {1, 2, 1, 3, 1, 4}。
字典序:序列 A 的字典序⼩于序列 B,当且仅当存在 i (1 ≤ i ≤ n),使得 Ai < Bi ,且对任意的 j (1 ≤ j < i),Aj = Bj 。
准备好了吗?穿越⽼林的鸡⽖之谜正等待着你的解密。带上你的勇⽓和智慧,踏上这段充满挑战的旅程吧!
Input
第⼀⾏为⼀个整数 T(1 ≤ T ≤ 2 × 105) ,表示测试样例个数。
每个样例⼀⾏,为⼀个整数 n(1 ≤ n ≤ 2 × 105)。保证所有样例的n的和≤ 2 × 105。
Output
每个样例输出 n ⾏,每⾏两个正整数,表示该⽆向边连接的两个顶点(顶点从 1 开始编号)
Sample Input Copy
2
3
5
Sample Output Copy
1 2
1 3
1 4
1 2
1 3
1 4
1 5
1 6
HINT
